Have you ever wondered why honey flows so slowly while water rushes out of a tap? The answer lies in a fascinating property called viscosity. At FreeAstroScience.com, we’re passionate about unraveling complex scientific concepts for our readers. Join us as we dive into the world of fluid dynamics and explore how viscosity shapes our everyday experiences. By the end of this post, you’ll have a newfound appreciation for the hidden forces at work in the liquids around us!
What Exactly is a Fluid?
Before we tackle viscosity, let’s start with the basics. We at FreeAstroScience.com believe in building a strong foundation. A fluid is any substance that can flow and take the shape of its container. Unlike solids, fluids deform continuously under even the smallest forces. This category includes both liquids and gases, though we’ll focus primarily on liquids in this discussion.
Viscosity: The Internal Friction of Fluids
Think of viscosity as the “thickness” or resistance to flow within a fluid. It’s like the fluid’s internal friction, determining how easily it moves. We can visualize this concept with a simple experiment:
Under laminar motion conditions, the fluid (light blue) between the two plates can be imagined as composed of many foils flowing parallel to each other (dark blue). Depending on the viscosity of the fluid, given a certain force F moving the liquid, each lamina will have a certain velocity.
Imagine two large plates, one fixed and one moving, with a layer of fluid between them. As we apply force to the upper plate, it drags the fluid along. The fluid’s viscosity determines how quickly each layer moves relative to the others.
Newtonian vs. Non-Newtonian Fluids: A World of Difference
At FreeAstroScience.com, we love exploring the quirks of nature. Fluids fall into two fascinating categories:
- Newtonian Fluids: These well-behaved liquids, like water and olive oil, maintain constant viscosity regardless of the forces applied.
- Non-Newtonian Fluids: These rebels of the fluid world change their viscosity based on how they’re treated.
Examples include:
- Dilatant fluids (like oobleck) that thicken when stressed
- Pseudoplastic fluids (like ketchup) that thin out under stress
- Bingham fluids (like toothpaste) that only flow after a certain force is applied
Stokes’ Law: Measuring Viscosity in Action
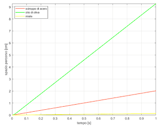
To truly understand viscosity, we turn to a brilliant piece of science: Stokes’ law. Developed in 1851 by George G. Stokes, this law helps us predict how objects move through fluids.
Let’s conduct a thought experiment:
Imagine dropping a tiny steel ball into cylinders filled with different liquids. Using Stokes’ law, we can calculate how quickly the ball will fall through olive oil, maple syrup, and honey.
Our results show:
- The ball falls fastest through olive oil (least viscous)
- It moves more slowly through maple syrup
- Honey provides the greatest resistance (most viscous)
Interestingly, the ball quickly reaches a constant speed in each fluid. This “terminal velocity” occurs when the viscous drag perfectly balances the force of gravity.
Viscosity in Our Daily Lives
Understanding viscosity isn’t just for scientists! At FreeAstroScience.com, we’re always excited to connect science to the real world. Here are some everyday examples:
- Cooking: The consistency of sauces and batters
- Automotive: Engine oil’s ability to protect moving parts
- Healthcare: Blood flow and circulation
- Industry: Paint application and fluid transport through pipes
Conclusion
Viscosity is a fundamental property that shapes the behavior of fluids all around us. From the slow drip of honey to the smooth flow of water, this invisible force is constantly at work. At FreeAstroScience.com, we hope this exploration has given you a new perspective on the hidden science in your daily life. The next time you pour a glass of water or squeeze out some toothpaste, take a moment to appreciate the complex fluid dynamics at play!


