The world of physics is a fascinating realm filled with intricate concepts that govern the universe. Among these concepts lies a peculiar constant known as the fine-structure constant. Its value appears to be a random number with no units or dimensions, yet it plays a vital role in our understanding of physics. This article, written by Gerd Dani, dives into the depths of this mysterious constant and its implications for our universe.
The Enigma of the Fine-Structure Constant
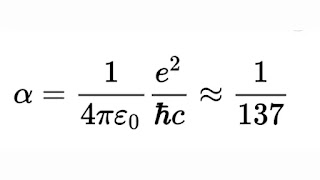
The fine-structure constant, often symbolized as α (alpha), is a dimensionless physical constant that appears in several fundamental formulas of quantum mechanics. It measures the strength of the electromagnetic interaction between elementary charged particles. The current estimate of the fine-structure constant is approximately 1/137.035999206, with a tiny uncertainty. This value is more accessible to remember by its inverse, about 137.
While the number may seem arbitrary, it is significant in physics. This is because the value of α determines the size of atoms, the properties of chemistry, and the characteristics of nuclear reactions. If α held any other value, life as we know it could be drastically different or even impossible.
The Discovery of the Fine-Structure Constant
The fine-structure constant was first introduced into physics equations by German physicist Arnold Sommerfeld in the early 20th century. He noticed that spectral lines, specific wavelengths at which atoms emit or absorb radiation, exhibited a “fine structure,” appearing as two narrowly separated lines instead of a single one.
To explain this phenomenon, Sommerfeld introduced a new constant into his equations, which he termed the fine-structure constant. The constant didn’t carry any units, a distinguishing feature that set it apart from other constants in physics.
The Role of the Fine-Structure Constant in Quantum Physics
As our understanding of quantum mechanics grew, the fine-structure constant began appearing in more places. It crops up anytime charged particles interacted with light. Over time, we recognized it as the fundamental measure for the strength of how charged particles interact with electromagnetic radiation.
The fine-structure constant’s value is also integral to the quantum electrodynamics (QED) calculations, the quantum field theory that describes how light and matter interact. QED uses α as the square of an effective charge “screened by vacuum polarization and seen from an infinite distance.” This means that α is essentially a scaling number used to calibrate the mathematics behind quantum mechanics to match experimental observations.
The Fine-Structure Constant and the Universe
The fine-structure constant is unique because its value exists beyond any unit system we have; it simply … is. This makes it a universal constant that would remain the same no matter what unit system is used or how the universe is organized.
Some scientists argue that if the fine-structure constant had a different value, atoms would have different sizes, chemistry would completely change, and nuclear reactions would be altered. This suggests that life as we know it would be outright impossible if the fine-structure constant had even a slightly different value.
Theories Regarding the Fine-Structure Constant
Despite its crucial role in physics, we currently lack a theoretical explanation for the origin and existence of the fine-structure constant. Physicists in the early 20th century believed that the constant had a value of precisely 1/137, and attempted to find significance in this value.
However, modern measurements have shown that the value is not exactly 1/137, but closer to 1/137.036. This has led to a shift in our perception of the fine-structure constant, with it now considered a practical or “running” coupling constant whose value depends on the energy at which it is measured. This variability in its value suggests that the number 1/137 is not as uniquely fundamental as previously thought.
The Fine-Structure Constant and the Standard Model
The fine-structure constant is integral to the Standard Model of particle physics, the theory describing three of the four known fundamental forces in the universe: the electromagnetic, weak, and strong nuclear interactions. The constant’s value is used to make predictions about these interactions and the behavior of subatomic particles.
Interestingly, measurements of the fine-structure constant have been found to closely match the value inferred from precise measurements of the electron’s g-factor, a constant related to its magnetic moment. This agreement between theory and experiment has been hailed as one of the Standard Model’s greatest triumphs.
The Measurement of the Fine-Structure Constant
The fine-structure constant is one of the most precisely known constants in physics. Scientists have employed various methods to measure its value, from observing the behavior of atoms and photons to using sophisticated semiconductor devices and lasers.
One method involves observing how strongly rubidium atoms recoil when they absorb a photon, a process that reveals the atoms’ mass and allows for the calculation of the fine-structure constant. This method involves painstakingly accounting for numerous factors such as gravity and the Coriolis force, and meticulously perfecting the use of lasers.
The Future of the Fine-Structure Constant
As our understanding of the universe continues to evolve, so does our interpretation of the fine-structure constant. Even as it remains a cornerstone of quantum mechanics, intriguing questions about its precise value and fundamental importance continue to spur further research.
Physicists are continually striving to improve their measurements of the fine-structure constant with the hope of gaining new insights into the fundamental nature of the universe. Despite the challenges, these researchers remain passionate and dedicated, driven by the desire to unravel the mysteries of the universe one constant at a time.
Conclusion
The fine-structure constant is a fascinating element of quantum physics, one that continues to intrigue and puzzle physicists worldwide. While we are yet to fully understand why it exists and why it holds the value it does, the constant importance in our understanding of the universe is undeniable. As we continue to delve into the mysteries of the universe, the fine-structure constant will undoubtedly continue to play a significant role in our journey of discovery.

