Have you ever wondered if that sleek vaping device in your pocket might be doing more damage than you think? While millions of people have turned to e-cigarettes believing they’re making a safer choice, emerging research suggests we might be trading one health risk for another – and this time, it’s hitting closer to home than we ever imagined.
Welcome to FreeAstroScience.com, where we believe in turning complex scientific discoveries into knowledge you can actually use. We’re here to guide you through the latest findings that could change how you think about vaping forever. Stay with us to the end, because what you’re about to learn might just save your health – and possibly your life.
The Hidden Link Between Vaping and Your Blood Sugar
Here’s something that might surprise you: that “harmless” puff of vapor could be quietly setting you up for prediabetes. We know – it sounds almost impossible, right? After all, aren’t e-cigarettes supposed to be the safer alternative?
A groundbreaking study led by health economist Sulakshan Neupane from the University of Georgia has turned this assumption on its head. By analyzing over 1.2 million data points from a CDC survey, researchers uncovered a troubling connection between vaping and blood sugar problems that nobody saw coming .
Let’s break down what prediabetes actually means. Think of it as your body’s warning system – your blood sugar levels are higher than normal, but not quite high enough for a full diabetes diagnosis yet. The scary part? Damage to your heart, kidneys, and nerves might already be underway. The good news? It’s still reversible if you catch it in time.
What the Numbers Really Tell Us About E-Cigarette Risks
We’ve crunched the numbers, and honestly, they’re more alarming than we expected. Here’s what the research revealed:
| User Type | Increased Risk of Prediabetes | Additional Cases per Million Users |
|---|---|---|
| E-cigarettes only | 7% higher than nonsmokers | 7,000 extra cases |
| Traditional cigarettes only | 15% higher than nonsmokers | Data not specified |
| Both e-cigarettes and traditional (dual use) | 28% higher than nonsmokers | Data not specified |
Wait – there’s more. When we look at full-blown diabetes, dual users face a 9% increased risk compared to nonsmokers. That’s actually higher than people who only smoke traditional cigarettes (7% increased risk).
These aren’t just abstract statistics. We’re talking about 7,000 additional prediabetes cases per million e-cigarette users in the United States alone That’s real people dealing with real health consequences.
Why Dual Users Face the Greatest Danger
Here’s where things get really concerning. If you’re someone who vapes and smokes traditional cigarettes – what researchers call “dual use” – you’re essentially rolling the dice with your metabolic health.
The data shows that dual users don’t just add up the risks – they amplify them. It’s like your body is getting hit from multiple angles, and frankly, it can’t keep up. As Neupane puts it: “E-cigarette use alone elevates the likelihood of prediabetes, with dual use conferring an additional risk” .
This finding challenges everything we’ve been told about e-cigarettes being a “safer” alternative. When people use both products, they’re not reducing harm – they’re compounding it.
Who’s Most at Risk and What This Means for You
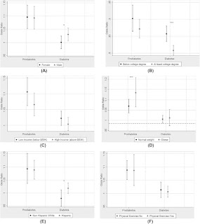
The research revealed some patterns that we can’t ignore. Certain groups face higher risks than others:
- Weight matters: If you’re overweight or obese and you vape, your prediabetes risk jumps even higher
- Ethnicity plays a role: Hispanic, Black, and Asian people experience greater risk compared to White people
- Socioeconomic factors: People facing financial stress might turn to smoking or vaping to cope, creating a cycle that increases health risks here’s something we need to address honestly – this study has limitations. It’s observational, which means we can’t definitively say vaping causes prediabetes. There might be other factors at play. Maybe people who are already at risk for metabolic problems are more likely to start vaping. We don’t know for sure yet.
However, with over 1.2 million data points, these correlations are too significant to ignore Until we have long-term studies spanning decades, this is the best evidence we have.
A number of social factors altered the risk for prediabetes and diabetes among e-cigarette smokers. (Neupane et al., AJPM Focus, 2025)
The Bigger Picture: Beyond Just Your Lungs
What strikes us most about this research is how it shifts our entire perspective on vaping. For years, the conversation focused almost entirely on lung health. Now we’re seeing that e-cigarettes might be affecting our entire metabolic system .
Think about it – your body is an interconnected system. When you introduce nicotine and other chemicals through vaping, they don’t just stay in your lungs. They travel through your bloodstream, potentially affecting how your body processes sugar and manages insulin.
“This is not just about the lungs anymore but the entire body and metabolic health,” Neupane explains. That’s a perspective shift we all need to make.
The science is clear: we can’t treat e-cigarettes as harmless anymore. Whether you’re already vaping, thinking about starting, or trying to quit, these findings demand our attention. The “safer alternative” narrative is crumbling under the weight of real evidence.
But here’s the thing – knowledge is power, and you now have information that millions of people don’t. Prediabetes is reversible. The damage isn’t necessarily permanent. What matters now is what you do with this information.
We at FreeAstroScience.com wrote this specifically for you because we believe in empowering people with scientific truth, not marketing spin. We’re committed to keeping your mind active and engaged with the latest research, because as we always say – the sleep of reason breeds monsters.
Ready to dive deeper into the fascinating world of health science? Come back to FreeAstroScience.com, where we transform complex research into knowledge that can change your life. Your future self will thank you.
This research was published in AJPM Focus.

