Have you ever wondered why certain structures suddenly collapse despite appearing strong? The answer often lies in a phenomenon called buckling. In this blog post, we will unravel the science behind buckling, explore its implications in everyday objects, and understand its critical role in structural mechanics. By the end, you’ll gain a deeper appreciation for the hidden forces that shape our world, brought to you by FreeAstroScience.com.
The Science of Breaking: Beyond Bending
We all instinctively know that bending is an effective way to break an object. Remember breaking a twig as a child by bending it over your knee? This simple act is rooted in solid scientific principles. When it comes to slender bodies—objects longer than they are wide—bending is the most effective stress to cause a break. However, bending isn’t the only way to stress an object. We can twist, pull, or even compress it. But why don’t we usually consider compression? The answer lies in a fascinating phenomenon called buckling, or “elastic instability.”
What is Buckling?
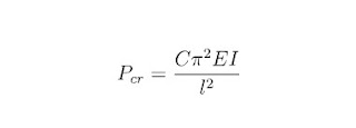
When a body is subjected to compressive stress, it retains its shape until the material’s mechanical strength is exceeded. However, there’s a critical stress value where the body suddenly loses its structural stability, bending to one side even if the force doesn’t exceed its strength. This phenomenon, known as buckling, was first theorized by the Swiss mathematician Euler in the 18th century. Euler’s formula predicts the maximum compressive load a slender body can withstand before buckling:
This elegant formula shows that the maximum load decreases as the object’s length increases, making long and thin objects more prone to buckling than crushing. Think of uncooked noodles; they flex sideways before breaking when compressed.
Real-World Implications of Buckling
Buckling is crucial in construction and mechanics because even if a component can withstand designed stresses, it might fail due to shape changes from buckling. A notable example is the Station Square Collapse in 1988 in Burnaby, Canada. Minutes after a new supermarket opened, a load-bearing beam buckled, causing 595 m² of ceiling to fall. Fortunately, there were no casualties, but 21 people were injured. Technical reports identified buckling as the cause.
Everyday Example: The Beverage Can
Let’s consider an everyday object: an empty beverage can. Despite its simplicity, calculating its resistance to buckling is complex. A can’s thin walls and stubby shape mean Euler’s formula isn’t sufficient. Instead, we rely on more advanced theories of plates and shells, supported by NASA’s extensive research.
For a generic empty half-liter can with a 70 mm diameter and 0.1 mm thickness, the force required to cause buckling is about 1000 N, equivalent to the weight of a 100 kg person. Ideally, it would take 660 kg to deform the can without buckling, but real-world imperfections make this unlikely. Even a slight defect can trigger collapse.
When the can is full and under pressure, the internal pressure resists external compressive forces, increasing the buckling force to 25,800 N (2580 kg). However, in reality, the can would likely explode due to the combined effects of internal pressure and crushing.
Conclusion
Understanding buckling is essential for anyone interested in structural mechanics. This phenomenon can lead to unexpected failures, even in objects designed to withstand significant stresses. By exploring the science behind buckling and its real-world implications, we gain valuable insights into the hidden forces that shape our world. Stay curious and keep exploring with FreeAstroScience.com!


